Telefon:
+49 (0)241 95 163 153
Fax:
+49 (0)241 95 163 155
E-Mail:
orders@antikoerper-online.de

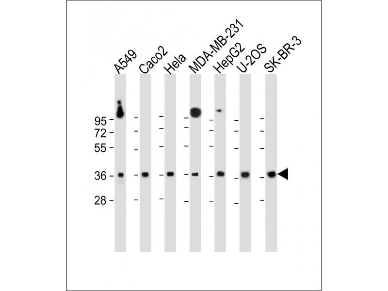
GATSL2 Antikörper (N-Term)

Dieser Kaninchen Polyklonal Antikörper detektiert spezifisch GATSL2 in WB und IHC (p). Es zeigt Reaktivität gegenüber Proben von Human.
Produktnummer ABIN1539214
434,77 €
Zzgl. Versandkosten 20,00 € und MwSt
Lieferung nach: Deutschland
Lieferung in 14 bis 17 Werktagen

Kurzübersicht für GATSL2 Antikörper (N-Term) (ABIN1539214)

Target

GATSL2 (GATS Protein-Like 2 (GATSL2))

Reaktivität

Human

Wirt

  • 7
Kaninchen

Klonalität

  • 7
Polyklonal

Konjugat

  • 2
  • 1
  • 1
  • 1
  • 1
  • 1
Dieser GATSL2 Antikörper ist unkonjugiert

Applikation

  • 7
  • 6
  • 1
Western Blotting (WB), Immunohistochemistry (Paraffin-embedded Sections) (IHC (p))

Klon

RB30525
  • Bindungsspezifität

    AA 25-51, N-Term

    Homologie

    B, M, Rat, X

    Aufreinigung

    This antibody is purified through a protein A column, followed by peptide affinity purification.

    Immunogen

    This GATSL2 antibody is generated from rabbits immunized with a KLH conjugated synthetic peptide between 25-51 amino acids from the N-terminal region of human GATSL2.

    Isotyp

    IgG
  • Applikationshinweise

    WB: 1:1000. IHC-P-Leica: 1:250. IHC-P-Leica: 1:250

    Beschränkungen

    Nur für Forschungszwecke einsetzbar
  • Format

    Liquid

    Buffer

    Purified polyclonal antibody supplied in PBS with 0.09 % (W/V) sodium azide.

    Konservierungsmittel

    Sodium azide

    Vorsichtsmaßnahmen

    This product contains Sodium azide: a POISONOUS AND HAZARDOUS SUBSTANCE which should be handled by trained staff only.

    Lagerung

    4 °C,-20 °C

    Informationen zur Lagerung

    GATSL1 Antibody (N-term) can be refrigerated at 2-8 °C for up to 6 months. For long term storage, keep at -20 °C.

    Haltbarkeit

    6 months
  • Target

    GATSL2 (GATS Protein-Like 2 (GATSL2))

    Andere Bezeichnung

    GATSL2

    Hintergrund

    The function of this protein remains unknown.

    Molekulargewicht

    36056

    Gen-ID

    389523

    UniProt

    A6NHX0
Sie sind hier:
Chat with us!