Telefon:
+49 (0)241 95 163 153
Fax:
+49 (0)241 95 163 155
E-Mail:
orders@antikoerper-online.de

IGSF9 Antikörper

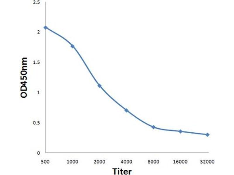
Der Kaninchen Polyklonal anti-IGSF9 Antikörper (ABIN1387752) detektiert spezifisch IGSF9 in ELISA, WB, IF (p) und IHC (p). Dieser Antikörper reagiert spezifisch mit Proben aus Human, Maus und Ratte.
Produktnummer ABIN1387752
357,70 €
Zzgl. Versandkosten 20,00 € und MwSt
100 μL
Lieferung nach: Deutschland
Lieferung in 8 bis 12 Werktagen

Kurzübersicht für IGSF9 Antikörper (ABIN1387752)

Target

Alle IGSF9 Antikörper anzeigen
IGSF9 (Immunoglobulin Superfamily, Member 9 (IGSF9))

Reaktivität

  • 9
  • 2
  • 2
  • 2
  • 2
  • 2
  • 1
  • 1
  • 1
  • 1
Human, Maus, Ratte

Wirt

  • 9
Kaninchen

Klonalität

  • 9
Polyklonal

Konjugat

  • 5
  • 2
  • 1
  • 1
Dieser IGSF9 Antikörper ist unkonjugiert

Applikation

ELISA, Western Blotting (WB), Immunofluorescence (Paraffin-embedded Sections) (IF (p)), Immunohistochemistry (Paraffin-embedded Sections) (IHC (p))
  • Kreuzreaktivität

    Human, Maus, Ratte

    Aufreinigung

    Purified by Protein A.

    Immunogen

    KLH conjugated synthetic peptide derived from human IGSF9

    Isotyp

    IgG
  • Applikationshinweise

    WB 1:300-5000
    ELISA 1:500-1000
    IHC-P 1:200-400
    IF(IHC-P) 1:50-200

    Beschränkungen

    Nur für Forschungszwecke einsetzbar
  • Format

    Liquid

    Konzentration

    1 μg/μL

    Buffer

    0.01M TBS( pH 7.4) with 1 % BSA, 0.02 % Proclin300 and 50 % Glycerol.

    Konservierungsmittel

    ProClin

    Vorsichtsmaßnahmen

    This product contains ProClin: a POISONOUS AND HAZARDOUS SUBSTANCE, which should be handled by trained staff only.

    Lagerung

    4 °C,-20 °C

    Informationen zur Lagerung

    Shipped at 4°C. Store at -20°C for one year. Avoid repeated freeze/thaw cycles.

    Haltbarkeit

    12 months
  • Target

    IGSF9 (Immunoglobulin Superfamily, Member 9 (IGSF9))

    Andere Bezeichnung

    IGSF9

    Hintergrund

    Synonyms: IGSF9A, Dasm1, Dendrite arborization and synapse maturation protein 1, IGSF9 immunoglobulin superfamily, member 9, Immunoglobulin superfamily member 9A, immunoglobulin superfamily, member 9, Ncaml, Nrt1, Protein turtle homolog A, TUTLA_HUMAN.

    Background: Ig (immunoglobulin) superfamily members exhibit functional characteristics including immune responses, growth factor signaling and cell adhesion. IGSF9 (immunoglobulin superfamily, member 9), also known as Nrt1 or IGSF9A, is a 1,179 amino acid single-pass type I membrane protein expressed in a wide variety of fetal tissues at eight and fourteen weeks of gestation. Belonging to the immunoglobulin superfamily and the Turtle family, IGSF9 is thought to play a role in dendrite outgrowth and synapse maturation. IGSF9 contains two fibronectin type-III domains and five Ig-like (immunoglobulin-like) domains. IGSF9 interacts with MAGI-2 and Shank 1, both of which contain SH3 (Src-homology 3) domains. Protein-protein interactions are central events in cellular signal transduction and are often mediated by SH3 domains. IGSF9 is encoded by a gene located on human chromosome 1q23.2 and mouse chromosome 1 H3.

    Gen-ID

    57549
Sie sind hier:
Chat with us!